返回首页
你现在的位置: > 首页 > 行业动态 > 正文

微电网的四个重要指标解读

发布日期:2019/7/10



       微电网(Micro-Grid),是指由分布式电源、储能装置、能量转换装置、负荷、监控和保护装置等组成的小型发配电系统。


       微电网是一个能够实现自我控制、保护和管理的自治系统,既可以与外部电网并网运行,也可以孤立运行。微网中储能主要具有削峰填谷,提高电网对新能源的接纳能力,作为备用电源以及提高电能质量等作用。


       其中微网储能系统有几个重要指标数据分别是自平衡率,自发自用率,冗余率,总净现成本。


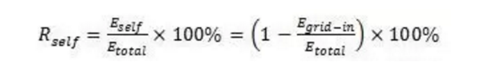
       自平衡率


       并网型微电网与大电网相连,可以由大电网提供一定的电力支撑。因此,并网型微电网依靠自身的分布式电源供电,所能满足的负荷需求比例在一定程度上反映了其供电能力和对电网的依赖程度。将并网型微电网在一定周期内,依靠自身分布式电源所能满足的负荷需求比例定义为自平衡率,如下公式所示。



       式中,Eself是并网型微电网自身所能满足的负荷用电量;Etotal 是负荷总需求量;Egrid-in 是由大电网满足的负荷用电量,即并网型微电网的购电电量。


       自发自用率


       并网型微电网的分布式电源不仅可以向负荷供电,在发电能力过剩的情况下,还可以向大电网送电。因此,将并网型微电网在一定周期内,用于满足负荷需求的分布式电源发电量比例定义为自发自用率,如下公式所示。




       式中,Eself是并网型微电网自身所能满足的负荷用电量;EDG 是并网型微电网的分布式电源总发电量。


       冗余率


       并网型微电网通常采用“自发自用,余电上网”的运行原则,在满足内部负荷需求的基础上,才可以向大电网出售过剩的电量。将并网型微电网在一定周期内出售给大电网的分布式电源发电量比例定义为冗余率,如下公式所示。



       式中,Egrid-out是并网型微电网出售给大电网的电量;EDG 是并网型微电网的分布式电源总发电量。


       冗余率反映了并网型微电网交易行为或运营方式。如果冗余率高,说明微电网的发电量主要用于售电。从表达式上,冗余率和自发自用率具有一定的联系。在不考虑网络损耗和储能装置损耗的情况下,Rredu + Rsuff = 1;但是,二者有完全不同的物理含义,并且影响并网型微电网的运行方式。


      总净现成本


       可使用总净现成本(NPC)来表示系统寿命周期成本,CNPC 是将寿命周期内产生的各成本值折现到初始年进行统计,包括初始投资成本、运维成本、置换成本、燃料成本、残值、从电网购售电成本及污染排放罚金等。




来源:坎德拉


[←返回]

关于我们   |   关于合作   |   留言板   |   资料下载   |   广告服务  
  版权所有:南京诺溪新能源科技有限公司 苏ICP备14012130号   地址:南京金源路2号绿地之窗南广场D1栋808   
电话:025-52170985 18914486391