返回首页
你现在的位置: > 首页 > 行业动态 > 正文

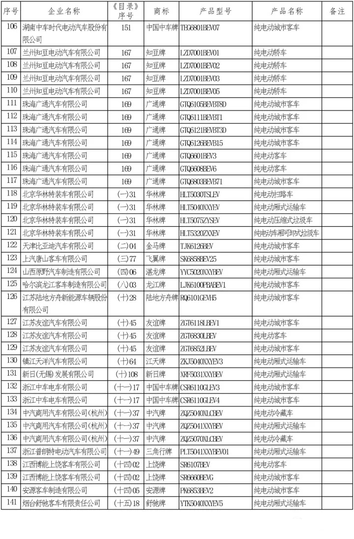
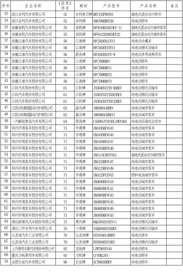
第11批新能源汽车推荐车型目录出炉 165款新车型上榜

发布日期:2017/12/5


       根据《中华人民共和国行政许可法》和《国务院对确需保留的行政审批项目设定行政许可的决定》的规定,现将许可的汽车、摩托车、三轮汽车生产企业及产品(第302批)和《新能源汽车推广应用推荐车型目录》(2017年第11批)予以公告。




   附件:道路机动车辆生产企业及产品(第302批)



   链接:《新能源汽车推广应用推荐车型目录 》(2017年第11批)车型主要参数






2017年12月4日


来源:国家工信部

[←返回]

关于我们   |   关于合作   |   留言板   |   资料下载   |   广告服务  
  版权所有:南京诺溪新能源科技有限公司 苏ICP备14012130号   地址:南京金源路2号绿地之窗南广场D1栋808   
电话:025-52170985 18914486391